Unraveling the Atomic Scale Lithiation of Crystalline Silicon

 Measured XRR data, fits and corresponding EDPs
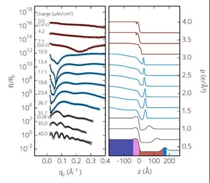
Figure 1: Measured XRR data, fits and corresponding EDPs: (left) Measured, Fresnel-normalized (R/RF), XRR (symbols) of lithiated Si for various charge passed, and the corresponding model fits (solid lines); (right), the fit-derived EDPs. All curves are vertically offset for clarity. The colors mark the individual sublayers: light blue, electrolyte; dark blue, inorganic-SEI; brown, lithiated Si; magenta, “dense-Si”; purple, silicon. z = 0 is set at the crystalline Si and lithiated Si interface.

Since the commercialization of the first rechargeable Li-ion battery (LIB) in 1991 [1], LIBs have become key components in everyday life.  However, the energy storage capacity of current LIBs is still too low to meet the increasing demand of key markets, such as the need for long-distance transportation via electric vehicles. Consequently, researchers are trying to build new generations of LIBs using a variety of different materials. The most promising anode material is silicon (Si), which is earth abundant and has a high specific capacity of 4200 mAh/g (corresponding to Li4.4Si), which is more than 10 times that of commercially used graphite (372 mAh/g) [2]. Despite large research efforts, there still exist challenges to overcome for large-scale use of Si as an anode material. Particularly critical is the volume expansion of ca. 300% upon lithiation, which causes cracking and pulverization of the Si anode, resulting in the loss of mechanical/electrical contact and subsequent capacity fading [3,4].

To overcome these limitations, an atomistic level understanding of the Si (de)lithiation process is imperative. Recent experiments have highlighted that interfacial reactions and phase transformations play a significant role in the lithiation process [5,6]. Some fundamental questions, however, have not been much explored so far. These include the following: How does Li+ react with Si, break up the Si lattice, and form a LixSi alloy? Is the lithiation process diffusion or reaction-rate limited? Does the lithiation front propagate into the Si lattice layer-by-layer or in a nonuniform fashion? Therefore, one of the goals of this research is to study the lithiation reaction at the interface level in real-time with subnanometer resolution and under realistic charge/discharge rates. A better understanding of the structural aspects of the lithiation in Si can provide fresh insights to mitigate the large volume change and loss of cyclability.

Electrochemistry of the Si wafer electrode cycled at 25 μA/cm2. 
Figure 2: Electrochemistry of the Si wafer electrode cycled at 25 μA/cm2.  Sketch of the three-step lithiation process, detailed in the text.

For this purpose, the research team utilized in situ x-ray reflectivity (XRR) to investigate the structural aspects of the lithiation in a single crystalline native oxide terminated Si (100) wafer. This well-defined model system is well suited to spatially track the reaction front and phase boundary between Si and LixSi and to obtain a better understanding of the LixSi layer and the solid electrolyte interphase (SEI) that form during lithiation. XRR is a surface and interface sensitive technique and can be carried out under realistic electrochemical conditions with a time resolution of minutes. This yields important insights into Si lithiation process. The Si wafer electrode was cycled at 25 μA/cm2 and for total charge passed of ∼102 μAh/cm2. For a 120 nm film or 2.8 × 10−5 g/cm3 loading Si particles, this corresponds to about C/4. Electrochemistry and reflectivity data (SSRL, BL2-1) were simultaneously measured during the first lithiation, corresponding to the first discharge cycle.

By modeling the XRR data (shown in Fig. 1, together with the model fits and fit-derived electron density profiles (EDPs)), the researchers obtained nanometer-resolution information on inorganic-SEI, LixSi, and dense-Si layer thickness, electron density, and roughness and how these properties evolve with lithiation. The SEI layer measured is the inorganic part of SEI, which is essential in increasing Li+ conductivity and reducing mechanical degradation.  These results show that this layer exists and is well defined, at least during the initial SEI formation. Further, the team unraveled a three-step lithiation model (shown in Fig. 2, together with the measured electrochemistry). It begins with the onset of the formation of the SEI between 0.8 and 0.6 V (red curves in Fig. 1), is followed by the lithiation of the native oxide, accompanied by the initial diffusion of Li into Si (blue curves), and ends with the lithiation of the bulk silicon to a phase close to Li15Si4 (grey curves). During the last step, a few-nanometer thick layer dense-Si at the reaction front is observed, indicating a Li0.17Si pre-alloy. The dense-Si layer is located at the c-Si and LixSi junction and is the reaction front of Li+ intercalation into Si. The observation of dense-Si layer indicates that only 7−8 Si atomic layers participate in lithiation process at the same time. Therefore, lithiation of crystalline Si is proposed to be a reaction limited layer-by-layer process.

Primary Citation

C. Cao, H.-G. Steinrück, B. Shyam, K. H. Stone, M. F. Toney, "In-situ Study of Silicon Electrode Lithiation with X-ray Reflectivity", Nano Lett. 16, 7394 (2016), DOI: 10.1021/acs.nanolett.6b02926.

References

[1] T. Nagaura and K. Tozawa, Prog. Batteries Solar Cells 9,209 (1990).

[2] J. G. Kim, B. Son, S. Mukherjee, N. Schuppert, A. Bates, O. Kwon, M. J. Choi, H. Y. Chung and S. Park, J. Power Sources 282, 299 (2015).

[3] U. Kasavajjula, C. Wang and A. Appleby, J. Power Sources 163, 1003 (2007).

[4] L. Y. Beaulieu, K. W. Eberman, R. L. Turner, L. J. Krause, J. R. Dahn, Electrochem. Solid-State Lett. 4, A137 (2001).

[5] X. H. Liu, J. W. Wang, S. Huang, F. Fan, X. Huang, Y. Liu, S. Krylyuk, J. Yoo, S. A. Dayeh, A. V. Davydov, S. X. Mao, S. T. Picraux, S. Zhang, J. Li, T. Zhu and J. Y. Huang, Nat. Nanotechnol. 7, 749 (2012).

[6] M. J. Chon, V. A. Sethuraman, A. McCormick, V. Srinivasan and P. R. Guduru, Phys. Rev. Lett. 107, 045503 (2011).

Published Date
Contacts
Experimental Stations
BL2-1
Techniques
X-ray reflectivity
PDF Version