Geometric and Electronic Structures of the Ni(I) and Methyl-Ni(III) Intermediates of Methyl-Coenzyme M Reductase

Methyl-coenzyme M reductase (MCR) from methanogenic archaea catalyzes the terminal step in biological methane synthesis. Using coenzyme B (CoBSH) as the two-electron donor, MCR reduces methyl-coenzyme M (methyl-SCoM) to form methane and the heterodisulfide product, CoBS-SCoM. MCR contains an essential redox active nickel tetrapyrrolic cofactor called coenzyme F430 at its active site, which is active in the reduced Ni(I) state (MCRred1). All of the biologically generated methane, amounting to 1 billion tons per annum globally, is formed by MCR. Furthermore, recent evidence indicates that anaerobic methane oxidation is also catalyzed by MCR and occurs by a reversal of the methane synthesis reaction. Methane is a potent greenhouse gas, trapping 20 times more heat than CO2. In addition, methane is also an important and clean fuel as it produced the least amount of CO2 per unit of heat released. Thus, it is critically important to understand the mechanism of formation of the smallest hydrocarbon in nature.

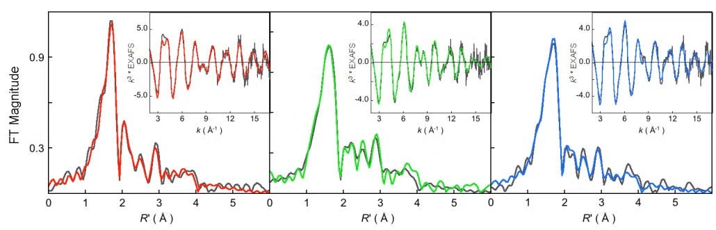
Figure 1
Figure 1: k3-weighted Ni K-edge EXAFS data (inset) and their corresponding Fourier transforms (FT). In all cases data: (gray), fit: (A) MCRred1-silent (red), MCRred1 (green), and MCRMe (blue).

The active site of MCR consists of a Ni bound tetrapyrollic cofactor called F430, which is proposed to cycle between several different oxidation states and electronic structures during catalysis. There are two proposed mechanism for the catalytic generation of methane by MCR, which can be distinguished by the first step of catalysis. In mechanism I, which is based on the crystal structure and mechanistic work with F430 model complexes, a methyl-Ni complex is formed as an intermediate species via heterolytic cleavage of the S-H bond of Methyl-SCoM bond. Mechanism II, which is based on density function theory computations avoids the formation of an energetically unfavorable methyl-Ni(III) species and proposes a pathway involving homolytic cleavage and generation of a methyl radical and a Ni(II)-thiolate species.

In an article published in the April edition of Biochemistry, Sarangi and co-workers have solved the local structure of two key intermediates involved in mechanism I, namely the catalytically active Ni(I) MCRRed1 state and the Methyl bound Ni(III) state (MCRMe) (which was formed by oxidative addition of MeI to the reduced MCRRed1 state). MCR is extremely sensitive to aerobic oxidation, which has proved very difficult to obtain crystals for x-ray diffraction. Solution EXAFS data were available, but to low resolution. Sarangi et al. were able to obtain high resolution EXAFS data on both the MCRRed1 and MCRMe states. They also obtained EXAFS data on MCRRed1-silent, an inactive Ni(II) form for comparison purposes. The experiments were performed on the SMB XAS Beam Line 9-3 at SSRL.

Figure 2
Figure 2: Schematic diagram of the predicted active site structures of MCRred1-silent, MCRred1, and MCRMe based on Ni K-edge EXAFS, Ni K-pre-edge analysis and DFT calculations.

The authors determined the local structure of the MCRRed1 and MCRRed1-silent states unambiguously, however, although a short axial ligand was observed in the EXAFS data for the MCRMe state, the data were inconclusive in determining the nature of the axial ligand. To solve this, the authors used a combination of Ni K-edge XANES data analysis, DFT and TD-DFT calculations. The data show that the Ni K-pre-edge feature at 8331.5 eV shifts more than 1 eV to higher energy and the intensity of the pre-edge increases almost three-fold. These trends in pre-edge energy and intensity were reproduced by TD-DFT calculations by only using a Ni(III)-Me model for MCRMe (see Figure 3). Other models (with different axial ligands) led to theoretical spectra that did not agree with the experimental data. Together, the EXAFS, Ni K-edge XANES and DFT results unambiguously demonstrate the presence of a unique Ni(III)-Me electronic structure in MCRMe.

Figure 3
Figure 3: Comparison of the Ni K-pre-edge XAS data (solid) with the TD-DFT calculated spectra (dashed): MCRred1-silent (red), MCRred1 (green), MCRMe (blue). The high intensity and energy of MCRMe data could only be reproduced with a model with Ni(III)-Me electronic structure.

The results presented in this study indicate that the Ni-C bond in MCRMe is long, reminiscent of the long Co(III)-C bond in adenosylcobalamin (AdoCbl) (~2.04 Aring;). In AdoCbl-dependent enzymes, the long weak Co-C bond undergoes a homolytic cleavage forming an Ado• radical, which subsequently initiates radical-based substrate rearrangements while in MeCbl, a heterolytic cleavage occurs and results in a methyl cation and Co(I). Thus, the long Ni-Me bond in MCR observed by XAS could promote homolysis of the Ni(III)-methyl bond, which would lead to formation of a methyl radical or enhance the electrophilicity of the methyl group, hence increasing its susceptibility toward nucleophilic attack. In the case of the radical mechanism, the resulting CH3• radical can then abstract an H• from HSCoB, yielding CH4 and •SCoB, which subsequently would lead to the formation of CoBS-SCoM and the active MCRred1 state of MCR.

The article also highlights an important property of the F430 cofactor in stabilizing the uncommon Ni(I) and Ni(III) oxidation states in biology. In the case of MCRMe the cofactor participates in very strong covalent interaction with the Ni(III) site thereby neutralizing the positive charge. This is consistent with the unusual stability observed in reported biochemical studies. In the case of MCRRed1 the low charge on a formally Ni(I) species would be expected to increase the pKa of the coordinating anionic nitrogens and destabilize the Ni-N bond toward dissociation and protonation. In this case the low-lying F430 orbitals participate in back bonding interaction to increase the charge on the Ni(I) and increase the stability of the Ni(I)-F430 cofactor.

Primary Citation

Sarangi, R.; Dey, M.; Ragsdale, S. W. Geometric and electronic structures of the Ni(I) and methyl-Ni(III) intermediates of methyl-coenzyme M reductase. Biochemistry 2009, 48, 3146-3156.

References

1) Thauer, R. K. Biochemistry of methanogenesis: A tribute to Marjory Stephenson. Microbiology, 1999 144, 2377-2406.

2) DiMarco, A. A., Bobik, T. A., and Wolfe, R. S. Unusual coenzymes of methanogenesis. Annu. Rev. Biochem. 1990 59, 355-394.

3) Ellermann, J., Hedderich, R., Böcher, R., and Thauer, R. K. The final step in methane formation: Investigations with highly purified methyl-coenzyme M reductase (component C) from Methanobacterium thermoautotrophicum (strain Marburg). Eur. J. Biochem. 1988 172, 669-678.

4) Ellefson, W. L., Wolfe, R. S., and Whitman, W. B. Nickel-containing factor F430: Chromophore of the methyl reductase of Methanobacterium thermoautotrophicum. Proc. Natl. Acad. Sci. U.S.A. 1982 79, 3707-3710.

Published Date
Contacts
Experimental Stations
BL9-3