The Competition for Iron Impacts the Global Carbon Cycle

Figure 1
Figure 1. Top: Iron is thought to limit phytoplankton in much of the world's oceans. Bottom: Structure of the iron-siderophore complex ferrioxamine B [Fe(III)HDFOB+]. Image courtesy of Andrzej Jarzecki, Brooklyn College, the City University of New York.

Iron is one of several essential nutrients thought to limit phytoplankton growth in large areas of the world's oceans. The growth of marine phytoplankton represents a important linkage in the carbon cycle, accounting for approximately 50% of the total biological uptake of carbon dioxide (Field et al., 1998); thus, phytoplankton growth may be important for carbon sequestration as the global carbon dioxide concentration rises. In the marine environment, iron is typically found in subnanomolar total concentrations (0.02-1 nM), which presents major challences to microorganisms that require Fe for growth and photosynthesis in the oceanic water column. One strategy utilized by marine bacteria is the production of siderophores, high-affinity organic chelating agents they exude to increase the solubility and uptake of iron. The bulk of soluble iron is contained within organic complexes (Donat and Bruland, 1995), and siderophores are belived to be a major component of the organic ligands bound to Fe in ocean waters (Witter et al., 2000). Processes that disrupt the siderophore-mediated solubilization and biological uptake of iron are therefore relevant to global carbon cycling. This work focuses on a little-explored but potentially very significant disruptive pathway, namely the direct scavenging of siderophore-Fe complexes by layer type manganese oxides. These minerals, which are abundant in the marine water column (0.035-0.87 nM) (Landing and Bruland, 1980), have been called the "scavengers of the sea" because of their high affinity for trace metals (Goldberg, 1954). A major unanswered question is "Does the Mn cycle disrupt siderophore-based Fe acquisition?" Because of the essentiality of iron to microbial growth, this phenomenon may represent a heretofore unknown interferring role that marine Mn oxides may play in the mediation of iron uptake and bioavailability in the oceans.

A collaborative group of scientists from SSRL, University of California-Berkeley, and North Carolina State University have coupled wet chemical measurements with EXAFS (extended X-ray absorption fine structure) spectroscopy, to examine the molecular-scale mechanisms that could disrupt siderophore-based Fe acquisition. In particular, research was performed to determine the extent of sorption (bonding of the complexes to the surfaces of manganese oxides) and the molecular architecture of surface-bound iron-siderophore complexes (Figure 1) on manganese oxides (Duckworth et al., 2008). Because of its ability to probe the local arrangement of atoms specifically around iron atoms, EXAFS spectroscopy is uniquely suited to this problem by providing information regarding the molecular-scale structures of iron's local coordination environment. Furthermore, this technique allows for in situ measurements of wet, undisturbed samples, which is crucial to obtaining results that are representative of the aqueous environment.

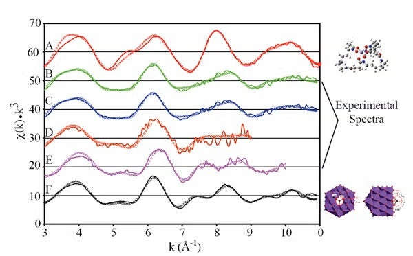
Figure 2
Figure 2. Fe K-edge EXAFS spectra of Fe standards and ferrioxamine B reacted with layer type manganese oxides. (A) 50 mM Fe(III)HDFOB+(aq); (B, C) Fe(III)HDFOB+ reacted with biogenic manganese oxide produced by the bacterium, P. pudita; (C, D) Fe(III)HDFOB+ reacted with synthetic Mn(IV) oxides and (F) 20% Fe-doped d-MnO2. Lines are experimental data and open circles are fits based on structural modeling. Spectral and fitting data are from Duckworth et al., 2008.

We studied the sorption reaction of ferrioxamine B [Fe(III)HDFOB+ an Fe(III) chelate of the trihydroxamate siderophore desferrioxamine B (DFOB)] with two synthetic birnessites [layer type Mn(IV) oxides] and a biogenic birnessite produced by Pseudomonas putida. We found that all of these predominantly Mn(IV) oxides scavenged Fe(III)HDFOB+ complexes, thus greatly reducing their aqueous concentration at pH 8. To study the molecular nature of the interaction between the Fe(III)HDFOB+ complex and the oxide surface, Fe K-edge EXAFS spectroscopy was employed. Visual inspection of the EXAFS data (Figure 2) reveals that samples containing siderophore complexes sorbed to Mn oxides (Figure 2B-E) closely resemble a Fe-doped Mn oxide standard (Figure 2F) instead of an aqueous siderophore complex standard (Figure 2A). This observation suggests Fe(III) associated with the Mn(IV) oxides is not complexed by DFOB, as in solution, but instead Fe(III) is directly adsorbed to the mineral structure. Structural modeling of the EXAFS spectra reveals that most Fe(III) sorbs to the surface at the edges of particles and at point defect sites (Figure 3), with there being no evidence of DFOB complexation, thus indicating that the Mn(IV) oxides actually displaced Fe(III) from the siderophore complex.

The ability of manganese oxides to remove Fe from a common siderophore is a remarkable finding because Fe(III)HDFOB+ complexes are highly stable, requiring enzymatic intervention to extract the bound ferric iron. The common occurrence of manganese oxides in the oceans suggests that the sorption of complexed iron to oxide surfaces could compete with siderophores-mediated transport and uptake of iron. In high-nutrient low-chlorophyll regions of the ocean, iron is typically a limiting nutrient (Behernfeld and Kolber, 1999), and the presence of manganese oxides could thus impact primary productivity on a global scale. Furthermore, Mn oxides are common in freshwater and soil environments (Post, 1999), suggesting that this process may also be important in terrestrial environments. Future work will help understand the effects of siderophore structure on the stability and reactivity of metal-siderophores complexes in natural waters.

Figure 3
Figure 3. Sorption structures of Fe associated with Mn(IV) oxides. Top: Sorption of an iron atom above a vacancy defect as a surface complex. Bottom: Sorption of an iron atom to a particle edge as a surface complex. In all renderings, a single layer of a manganese oxide is shown. Legend: red = oxygen; purple = manganese; crimson = iron; gray and black circles and represent radii of constant Fe-O and Fe-Mn interatomic distances, respectively. Lines do no necessary pass through all atoms in a shell because some atoms may be on the opposite side of the layer. Oxygen atoms coordinating Fe but not bonded to Mn oxide are omitted for clarity.

This work was funded by the National Science Foundation, Collaborative Research Activities in Environmental Molecular Science (CRAEMS) program (CHE-0089208). Support was also provided by the SSRL environmental remediation sciences program. This research was carried out at the Stanford Synchrotron Radiation Lightsource, a national user facility operated by Stanford University on behalf of the U.S. DOE, Office of Basic Energy Sciences. The SSRL Structural Molecular Biology Program is supported by the Department of Energy, Office of Biological and Environmental Research, and by the National Institutes of Health, National Center for Research Resources, Biomedical Technology Program.

Primary Citation

Duckworth, O.W., Bargar, J.R. and Sposito, G., 2008. Sorption of ferric iron from ferrioxamine B to synthetic and biogenic layer type manganese oxides. Geochim. Cosmochim. Acta, 72: 3371-3380.

References
  • Behernfeld, M.J. and Kolber, Z.S., 1999. Widespread iron limitation of phytoplankton in the south pacific ocean. Science, 283: 840-843.
  • Donat, J.R. and Bruland, K.W., 1995. Trace elements in the ocean. In: B. Salbu and E. Steinnes (Editors), Trace Elements in Natural Waters. CRC Press, Boca Raton, pp. 247-281.
  • Duckworth, O.W., Bargar, J.R. and Sposito, G., 2008. Sorption of ferric iron from ferrioxamine B to synthetic and biogenic layer type manganese oxides. Geochim. Cosmochim. Acta, 72: 3371-3380.
  • Field, C.B., Behrenfeld, M.J., Randerson, J.T. and Falkowski, P., 1998. Primary Production of the Biosphere: Integrating Terrestrial and Oceanic Components Science, 281: 237-240.
  • Goldberg, E.D., 1954. Marine geochemistry I. Chemical scavengers of the sea. J. Geol., 62:249-265.
  • Landing, W.M. and Bruland, K.W., 1980. Manganese in the North Pacific. Earth and Planetary Science Letters, 49: 45-56.
  • Post, J.E., 1999. Manganese oxide minerals: Crystal structures and economic and environmental significance. Proc. Nat. Acad. Sci., 96: 3447-3454.
  • Witter, A.E., Hutchins, D.A., Butler, A. and Luther, G.W., 2000. Determination of conditional stability constants and kinetic constants for strong model Fe-binding ligands inseawater. Marine Chem., 69: 1-17.
Published Date
Contacts
Experimental Stations
BL2-3