BL4-2 Biological Small Angle Scattering/Diffraction

Online Size-exclusion Chromatography Solution X-ray Scattering (FPLC-SAXS)

Introduction
In order to carry out a successful solution x-ray scattering (SAXS) data collection a highly monodispersed sample is vital. Even small amounts of higher oligomers can interfere with the data analysis and make interpretation of the resulting scattering curves difficult and potentially misleading. Many of the interesting problematic proteins we would like to examine using SAXS can be initially obtained in monodispersed forms by size-exclusion chromatography or similar methods, but tend to quickly aggregate shortly afterwards. To mitigate these problems an FPLC-SAXS protocol has been developed and implemented at the BIoSAXS beamline BL4.2 to analyze protein purified using analytical size-exclusion columns attached to an Ettan FPLC system (GE Healthcare) connected directly to our autosampler setup, allowing rapid switching between regular and FPLC-SAXS data collection. This allows us to collect the best data possible from samples where monodispersity may be an issue, for instance in the BSA example (a mixture with lysozyme) shown below:

FPLC-SAXS
Figure 1: FPLC Setup - The Akta Ettan FPLC can be easily moved in and out of place via a wheeled trolley. The FPLC system can be directly connected to our autosampler system allowing for rapid comparison of FPLC and autosampler data.
FPLC-SAXS
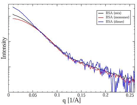
Figure 2: BSA regular and autosampler data comparison- BSA in acetate buffer actually consists of a mixture of monomer and a small amount of dimer. This is almost undetectable using our regular setup; however by using our FPLC-SAXS system we can separate the two peaks and collect data on both forms.


Method
We offer a choice of two low volume columns; the Superdex 200 PC3.2 for smaller proteins, and Superose 6 PC 3.2 for large proteins and complexes (both from GE Healthcare). We encourage users to bring their own columns. Eight milliliters of degassed and filtered buffer is required to equilibrate the machine (5ml) and column (3ml), which typically takes an hour. Following this each run requires 3ml of buffer, and with a flow rate of 0.05ml/min a single data collection also takes just over an hour. Between 50ul to 100ul of 5 mg/ml sample are loaded on the system, and typical dilutions factor are around two-thirds to a half of the original concentration.

Specifications
System

Akta Ettan FPLC

Software

Unicorn, Blu-Ice, US-SOMO

Sample loop

50ul, 100ul or bring your own

Sample requirement

Typically 50ul of 5mg/ml per injection

Columns

Superdex 200 PC3.2
Superose 6 PC3.2
We recommend you bring your own column, however please contact us well in advance of the experiment if you decide to do this

Buffer

5ml to equilibrate column, and then 3ml per run.  We recommend bringing at least 20ml, but 50ml is preferable

Column volume*

2.5ml

Our typical experimental column pressure limit*

1.0 MPa

Our typical experimental flow rate*

0.05 ml/min

Experiment time per sample

~60 minutes to equilibrate column with new buffer, then 40 minutes per run

* These are our typical running values, actual columns actual specifications/tolerance vary slightly

Data analysis
The data frames are analyzed with Sastool, with the first one hundred frames being used to form a buffer profile, which is then subtracted from every subsequent frame. Simple data analysis scripts have been created to allow the experimenter to follow the changes in rg and i0 during data collection, allowing easy identification of the peaks and aiding in the selection of the best frames to merge for further analysis.

Using FPLC-SAXS on BL4-2
FPLC-SAXS experiments require a large investment of time from the beamline scientists. If you wish to use the FPLC-SAXS set up please contact us well in advance of your beam time.  Please get in touch with us if you have any further questions.

General FPLC-SAXS References
David, G., & Pérez, J. Combined sampler robot and high-performance liquid chromatography: a fully automated system for biological small-angle X-ray scattering experiments at the Synchrotron SOLEIL SWING beamline. Journal of Applied Crystallography, 2009. 42(5), 892-900.

Mathew E, Mirza A, Menhart N. Liquid-chromatography-coupled SAXS for accurate sizing of aggregating proteins. J Synchrotron Radiat. 2004 Jul 1;11(Pt 4):314-8.

BL4.2 FPLC-SAXS references
Ho MC, Wilczek C, Bonanno JB, Xing L, Seznec J, Matsui T, Carter LG, Onikubo T, Kumar PR, Chan MK, Brenowitz M, Cheng RH, Reimer U, Almo SC, Shechter D. Structure of the arginine methyltransferase PRMT5-MEP50 reveals a mechanism for substrate specificity. PLoS One. 2013;8(2):e57008